Că vrem să credem sau nu, în existență noului coronavirus, că ne e frică sau nu de “simpla răceală” ( un virus doar puțin mai fițos, cum spune un pneumolog român ridicat pe piedestalul de erou al pandemiei, doar pentru că a declarat că a salvat 1000 de oameni, nu a precizat însă de la ce i-a salvat, din moment ce nu era nimic periculos), relitatea medicală românească este una mai mult decât complicată. Iar asta se întâmplă indiferent dacă suntem de acord cu măsurile (uneori puerile) adoptate de autoritățile din România, pentru, se spune, combaterea răspândirii epidemiei de SARS-CoV-2.

Doar în cifre (și acestea contestate vehement, mai ales atunci când contestatarii nu au avut, până acum, neșansa de a face cunoștință cu virusul) în România se poate declara că există un așa numit al treilea val a epidemiei (covid-19). Spitalele sunt mai aglomerate ca oricând până acum (începând din martie 2020), numărul deceselor este mai mare, cu mult, decât orice s-a întâmplat în ultimii zeci de ani, iar economia merge doar în genunchi, momentan. Dincolo de toate însă, realitatea medicală este una comlicată ce, încă, din păcate, s-ar putea sa nu reflecte dimensiunea reală a problemei. Așadar…

La nivel național în ultimele 24 de ore au fost raportate 4439 de cazuri noi de îmbolnăvire cu noul coronavirus, la un total de aproximativ 21.000 de teste analizate. Dintre cazurile noi, 105 sunt în județul Dâmbovița, unde rata de incidență a cazurilor este acum de 2,68 la mie.
Tot în ultimele 24 de ore au fost raportate alte 117 decese. La ATI numărul pacienților continuă să crească și este acum de 1386.

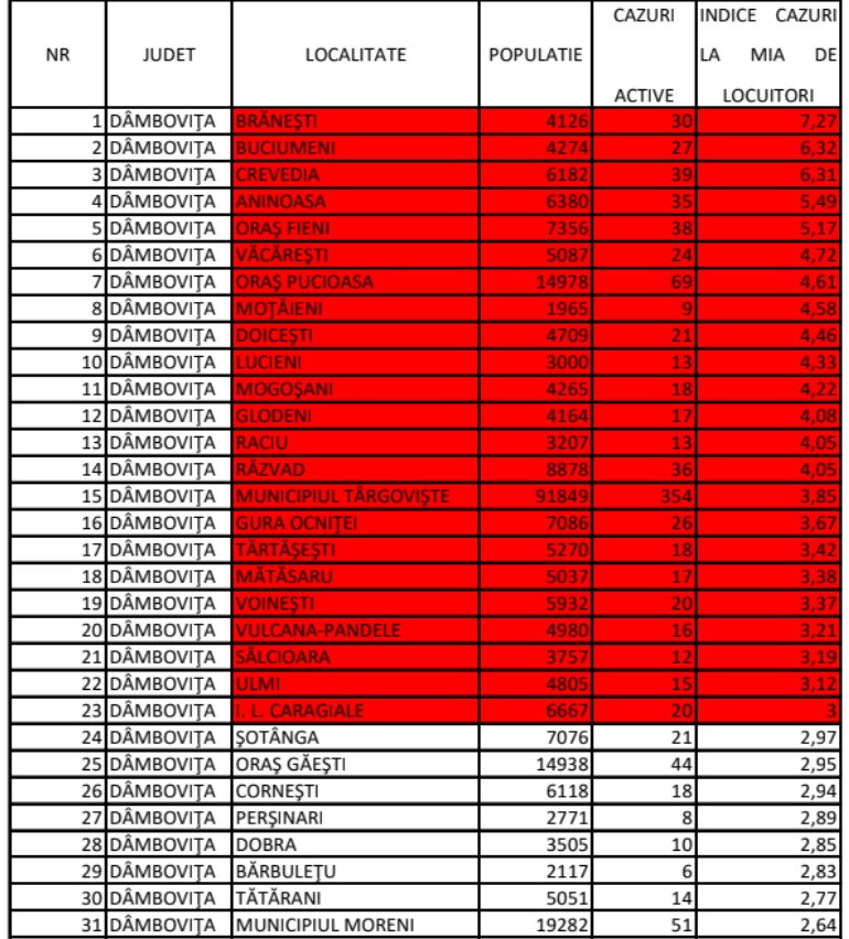
Sunt 12 județe (inclusiv București) ce sunt în scenariul roșu de funcționare (incidență mai mare de 3 la mie). În Dâmbovița sunt 23, din 89, de localități în scenariul roșu de funcționare.

Localitățile Brănești, Aninoasa, Buciumeni și Bezdead sunt în carantină, de o bună perioada de timp deja. Localitatea Mogoșani a fost plasată în carantină (vezi decizia mai jos), la rândul său, începând din data de 28 martie (ora 12.00).

În localitățile unde rata de incidență a depășit 4 la mie există restricții de circulație, după ora 20.00 ( nu se poate decâ cu declaratie pe propria răspundere), iar magazinele au program doar până la ora 18.00. Restricțiile se aplică doar în weekend. Unde rata de incidență a depășit valoaea de 7,5 la mie restricțiile se aplică pe tot parcursul săptămânii ( nicio localitate din Dâmbovița). Restricțiile de weekend se vor aplica, în Dâmbovița, dacă se păstrează valorile actuale, pentru 14 localități, dar începând de săptămâna care urmează.

Tot doar statistic, în judetul Dâmbovița, în data de 27 martie 2021:
• Persoane testate de la începutul pandemiei : 45.945
• Persoane confirmate cu COVID-19: 20.230 (76 persoane astăzi)
• Persoane vindecate, în total: 18.246
• Persoane decedate de la debutul pandemiei: 675
• Persoane aflate în carantină la domiciliu/adresa declarată: 1.178• Persoane aflate în carantină instituționalizată: 1
• Persoane aflate în izolare la domiciliu: 936
• Persoane aflate în izolare instituționalizată (internate în spital): 274 dintre care 8 persoane la ATI
Valul trei e aici și, din păcate, se pare că este doar începutul de maxim.
