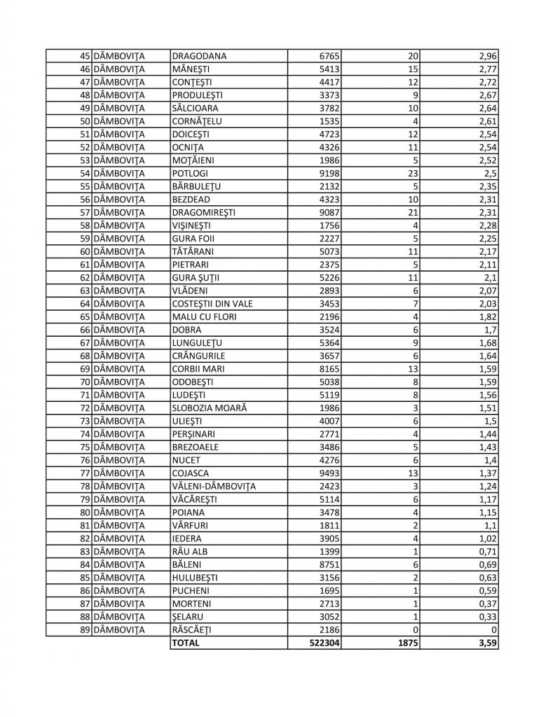
Deși, aparent, situația pare că stagnează, în ceea ce privește evoluția epidemiei noului coronavirus, atât în România cât și în județul Dâmbovița, situația este, de la o zi la alta, mai complicată. În Dâmbovița, spre exemplu, numărul localităților ce trec de o incidență de 3 la mie (raportat la ultimele 14 zile) crește de la o zi la alta. Dăcă în urmă cu două zile erau 36, iar în urmă cu o zi erau 40, acum, 25 noiembrie, sunt nu mai puțin de 42 de localități ce au depășit incidența de minim 3 la mia de locuitori.



Cinci localități din Dâmbovița au depășit chiar incidența de 6 cazuri la mia de locuitori (prag după care, teoretic cel puțin, se ia în discuție carantinarea localității), printre acestea fiind și orașele Pucioasa si Fieni . De asemenea și orașul Răcari este aproape de acest prag (o incidență de 5,88 astăzi). Doar una din cele 5 localități, ce au trecut de limita de incidență de 6 cazuri la mie, este în carantină, respectiv Valea Mare.
Orașele Târgoviște (incidență 4,89) și Pucioasa (incidență 7,45) sunt singurele ce au peste 100 de cazuri confirmate în ultimele 14 zile, la Târgoviște fiind 451 de cazuri confirmate în ultimele 2 saptămâni, iar la la Pucioasa 112.

În țară, situația de astăzi, 25 noiembrie, se prezinta astfel:
Au fost înregsitrate alte 9739 de cazuri noide îmbolnăvire cu noul coronavirus. Dintre acestea, 162 sunt în județul Dâmbovița, județ unde incidența cazurilor urcă la 3,59 cazuri la mia de locuitori.

Tot în ultimele 24 de ore, au fost înregistrate alte 168 de decese ( și în judetul Dâmbovița). La ATI a fost înregistrat un nou record, 1205 pacienți fiind internați acum la terapie intensivă (secțiile covid-19).
Pentru toate datele, de la nivel național, click aici.
