Comitetul Județean pentru Situații de Urgență Dâmbovița (CJSU DB) a propus prelungirea carantinei în comunele Brănești și Aninoasa, începând din data de 5 aprilie 2021, ora 12.00. Conform hotărârilor CJSU DB ( adoptate în data de 3 aprilie) carantina va fi prelungită cu încă 7 zile, în cele două localități. Documentele au fost aprobate prin Ordin al Șefului DSU, conform procedurilor în vigoare, în data de 4 aprilie.

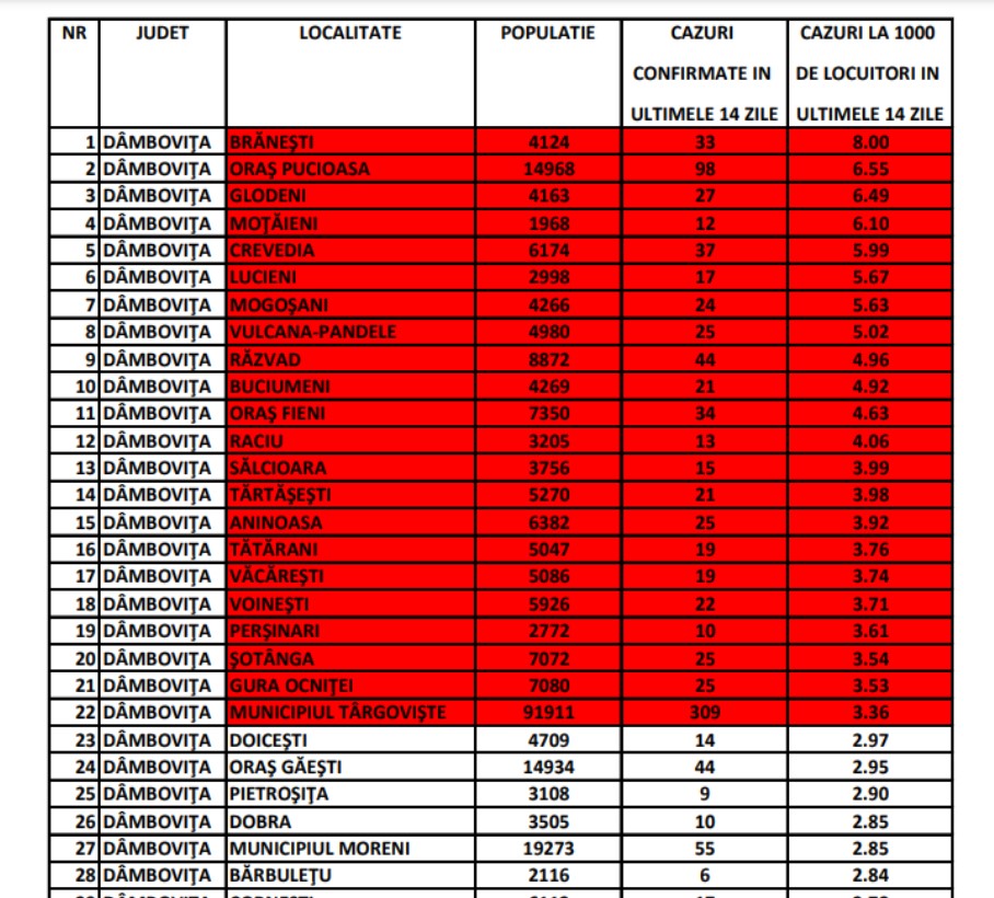
Comunele Aninoasa și Brănești au intrat în carantină în data de 22 martie . La data adoptării hotărârii CJSU DB ( 3 aprilie 2021) la Brănești este o rată a incidenței cazurilor de 7,76 la mie ( 32 de cazuri active în ultimele 14 zile), iar la Aninoasa este o incidență a cazurilor de 4,70 la mie (30 de cazuri active în ultimele 14 zile).


O zi mai târziu însă, aducă în data de 4 aprilie, la Aninoasa rata de incidență a cazurilor era de doar 3,92 la mie ( 25 de cazuri active). Decizia de păstrare a carantinei la Aninoasa este cel puțin ciudată, atâta timp cât auoritățile practic nu comunică care sunt toate criteriile după care se analizează și decide carantinarea unei localitați.

Spre exemplu, în Dâmbovița sunt alte 15 localități unde rata de incidență a cazurilor este mai mare decât la Aninoasa (în data de 4 aprilie), dar doar Brăneștiul (incidență 8) este în carantină.

Spre exemplu un oraș, precum Pucioasa, cu o incidență a cazurilor de 6,55 la mie ( peste pragul recomandat, de 6 la mie, de luare în discutie măcar a carantinei) nici nu se discută a fi luat în considerare pentru măsuri suplimentare. Iar la Pucioasa oraș cu mai puțin de 15.000 de locuitori, numărul de cazuri a explodat, fiind aproape 100, în acest moment.
Iată documentele prin care a fost decisă prelungirea carantinei la Aninoasa și Brănești.
