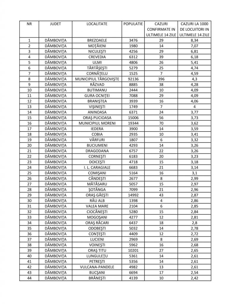
Deși nu mai reprezintă neapărat un criteriu important, gradul de incidență a cazurilor, pentru fiecare localitate, chiar și în condițiile în care sunt efectuate teste mai puține decât anterior, iar din calculul final sunt extrase așa numitele focare, continuă să reprezinte un indicator de luat în seamă, atunci când vorbim de statistica evoluției epidemiei de COVID-19 în România.
La nivel național, astăzi, 16 decembrie:

Au fost confirmate alte 5991 de cazuri noi ( la aproximativ 29.000 de teste) de îmbolnăvire cu noul coronavirus. Dintre cazurile noi, 110 sunt în județul Dâmbovița unde rata de incidență coboară la 2,77.
Tot în ultimele 24 de ore au fost raportate alte 164 de decese ( și în Dâmbovița, unde, în data de 15 decembrie, erau înregistrate 398 de decese, de la debutul pandemiei). La ATI, în momentul de față se află internate 1267 de persoane ( număr în creștere față de ziua precedentă).

Dincolo de aceste cifre, la nivelul județului Dâmbovița, tot la momentul actual (16 decembrie) în doar 24 de localități (din 89) gradul de incidență a cazurilor mai depășește valoarea de 3 la mie. Asta în condițiile în care au fost și 46 de localități în această situație, la jumătatea lunii noiembrie.
În data de 16 decembrie, la Niculești (incidență 7,05-30 de cazuri), Crevedia (incidență 6,97 – 44 de cazuri) și Moțăieni (6,13 incidentă 13 cazuri), situația este complicată, în ideea în care pragul de incidență de 6 la mie mai reprezintă un criteriu după care se poate stabili măsura carantinării, sau nu, a unei localități. În general nu se aplică aceasta măsură, a carantinării, la un grad de incidență de sub 9-10 (în momentul de față).
În plus, gradul de incidență diferă foarte mult, chiar de la o zi la alta, în unele localități (nu se stie practic câte cazuri ies din calcul și câte sunt introduse, în fiecare zi, indicatorul fiind stabilit zilnic în functie de numărul de cazuri din ultimele 14 zile).

Spre exemplu, în data de 15 decembrie,în Dâmbovița, în zona roșie, erau Brezoaele, Moțăieni, Niculești și Crevedia. Comuna Brezoaele, de la incidență 8,34-29 de cazuri (în data de 15 decembrie) a scăzut la o incidentă de 5,47 (19 cazuri), doar o zi mai târziu. Cu alte cuvinte cu 10 cazuri mai putin, în doar 24 de ore, ce însă nu reprezintă neapărat cazuri vindecate, ci doar cazuri ce nu se mai încadrează în definiție (cele 14 zile de calcul) a acestui indicator.

